kukisen.com
・ここでは以下の計算・描画ができます。
以下、空気線図をクリックすると拡大表示します。
①2つの物理量を入力してその他を計算
②風量と2つの空気の状態量を入力して熱量を計算
③2つの空気の風量と状態量を入力して混合空気状態を計算
④全熱交換器の計算
⑤冷房サイクルの確認
⑥暖房サイクルの確認
⑦冷却塔の計算
①
②
③.png)
④
⑤
⑥
⑦
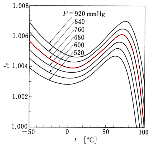
※多くのインターネットサイト(テクノ菱和HP等を含む)では、本来、飽和水蒸気分圧の計算で使う"修正係数"を計算していない、つまり、=1.0で計算していることが多いです。
本スマホサイト、kukisenVBA、空気線図描画ツールでは、東京海洋大名誉教授藤田稔彦先生(SHASEの紙の空気線図著者)の推奨するSHASE簡易修正係数(気圧と気温で変化する値:下図/数式(5)式)を採用しています。
簡単な近似式ですが、基となっている値はこの海外論文
①ITS-90 FORMULATIONS FOR VAPOR PRESSURE, FROSTPOINT TEMPERATURE, DEWPOINT TEMPERATURE, AND ENHANCEMENT FACTORS IN THE RANGE -100 TO +100 C
「-100~+100℃の範囲における、蒸気圧、霜点温度、露点温度、および修正係数に関するITS-90定式化」
(Bob Hardy,Published 1998,Environmental Science)
②Functional Equations for the Enhancement Factors for CO2 -Free Moist Air
「二酸化炭素を含まない湿潤空気における、修正係数の関数式」
( Greenspan, Lewis, Journal of Research of the National Bureau of Standards, 1976 Jan-Feb, )
で結構複雑な数式で導かれる値です。
下記グラフから常温常圧で 1.004 程度なので、
空調コイルや加湿器の選定が変わるほどのインパクトはありませんが、他サイトの「修正係数を加味しない計算式」の使用は推奨しません。
このページの「計算」ボタンで、SHASE簡易修正係数、海外論文の詳細修正係数、修正係数なし、
について同時に計算できますので、どのくらいの誤差があるか比較確認してみて下さい。

※SHASE学会誌1984年1月号